13510505757

电池研究 | 影响富镍正极低压区容量的因素 21-12-31
时间:2014-11-10

除了Co以外,随着LNO取代基含量的增加,材料的IRC呈线性增加。例如,Mg原子相对顶点的两个Li位点的能量降低,将它们“锁定”。一旦被占据,这些位置就不再参与锂扩散,而是充当必须被其他扩散锂离子绕过的支柱。这阻碍了锂在层内的集体扩散,迫使颗粒表面以较低的平均浓度填充锂,降低放电容量,从而增加IRC。因此进一步了解与锂扩散相关的动力学障碍和锂化学扩散系数的可靠测量至关重要。


【工作简介】
近日,加拿大达尔豪斯大学的J. R. Dahn团队对影响低压动力学障碍区域(3.0-3.6 V)中材料容量的因素进行了系统研究,强调了各种材料参数对电化学性能的影响,特别是低压区域锂扩散的动力学障碍

增加取代基的数量、二次粒径和一次粒径都会降低~3.4-3.6 V区域的容量并增加首圈IRC。3.4-3.6 V区域的容量可以在较高温度下以类似的放电倍率循环或循环到2 V的低截止电压时恢复。因为这些过程与锂在正极中的扩散有关,本文开发了一种新的“插层扩散的 Atlung 方法”用于分析锂化学扩散系数Dc。

如果在计算多晶样品的Dc时使用二次粒径,单晶LiNi0.975Mg0.025O2材料测得的Dc比多晶材料小约2个数量级。如果使用多晶材料的初级粒径,则Dc与单晶材料相似。这些结果表明,与晶界扩散相比,晶格扩散要慢得多。相关研究成果以“Factors that Affect Capacity in the Low Voltage Kinetic Hindrance Region of Ni-Rich Positive Electrode Materials and Diffusion Measurements from a Reinvented Approach”为题发表在国际知名期刊Journal of The Electrochemical Society上。

【内容详情】

第一系列样品使用Ni1-xMgx(OH)2(x=0–0.05)前驱体,表示为NiMg 18 μm系列,样品表示为NiMg 100-y/y(y=x*100)。第二系列样品使用 Ni0.9Co0.05Al0.05(OH)2前驱体,表示为NCA 90/5/5系列,样品用前驱体的尺寸表示。第三系列样品使用Ni0.975Mg0.025(OH)2前驱体,表示为NiMg 97.5/2.5 3 μm系列,样品用煅烧温度表示。表 I列出了3种系列样品的XRD精修结果。

表 I、合成的样品以及XRD精修结果。
图片

图片
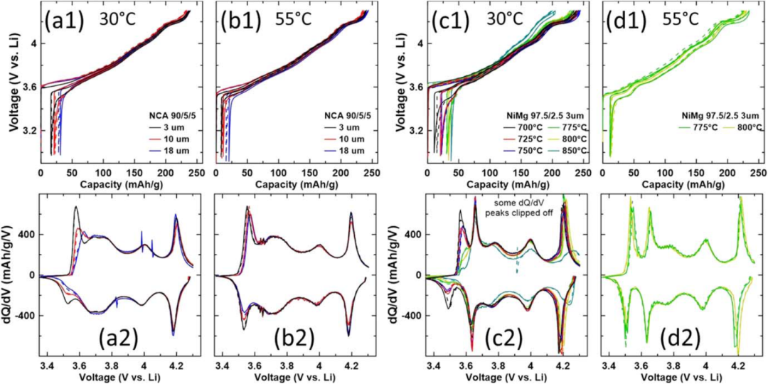
图 1、NiMg 18 μm、NCA 90/5/5和NiMg 97.5/2.5 3 μm三种系列样品的充放电曲线(a1–c1)、差分容量曲线(a2–c2)以及低压区域的差分容量曲线放大图(a3–c3)。(d) NiMg 97.5/2.5 3 μm系列的SEM图像。

图 1a1表明,随着Mg含量从0%增加到5%,首圈充电容量下降,IRC增加。图 1b1显示,随着二次粒径从3 μm增加到18 μm,首圈充电容量保持不变,但IRC增加。图 1c1显示,随着加热温度从700°C升高到850°C,首圈充电容量降低,IRC增加。

增加Mg含量使dQ/dV曲线变得平滑,这是由于LNO中的相变被抑制。增加二次粒径似乎只影响低压区域特性,而其余的dQ/dV曲线几乎不受影响。提高加热温度似乎主要影响低压和高压区域的特性。

很明显,随着三个变量的增加,低压区域中的dQ dV-1特征变得越来越小。图 1d显示,在700 ℃和750 ℃下加热的样品仍然是多晶的。在775 ℃下加热的样品,颗粒生长加速,以至于初级颗粒可以分离成单晶材料。在850 ℃下加热的样品的初级颗粒甚至变得更大。

图 1a3显示,低压区域的容量随着富镍成分的增加而增加。第二个系列改变了二次粒径,较大二次粒子减少了低压区域的容量。第三个系列改变了加热温度,导致了不同的初级粒径,随着初级粒径的增加,低压区域的容量也降低了。

这表明,增加锂的传输路径会减少锂脱插嵌的量。通过减少动力学障碍,例如通过降低取代基的数量或减少Li移动的路径长度,可以重新插入更多的Li并且使IRC更低。

图片
图 2、NCA 90/5/5(a1-a2)和NiMg 97.5/2.5 3 μm系列(c1-c2)中样品在30 ℃下循环的充放电曲线和差分容量曲线。NCA 90/5/5(b1-b2)和NiMg 97.5/2.5 3 μm系列(d1-d2)中样品在55 ℃下循环的充放电曲线和差分容量曲线。

比较NCA 90/5/5系列的充放电曲线表明,在55℃下循环电池对首圈充电容量的影响可以忽略不计,但放电容量增加,降低了首圈IRC。同样,NiMg 97.5/2.5 3 μm系列表明,在30℃下具有显着IRC的材料在55℃下循环时可以具有较小的IRC。

除了低压区域外,在30℃下循环的NCA 90/5/5材料的dQ/dV曲线与在55℃下循环的材料非常相似。对于NiMg 97.5/2.5 3 μm系列,只有加热到775℃和800℃的材料在55℃下循环,但两种材料在低压区循环的容量和IRC在55℃比在30℃时明显更低。

图片
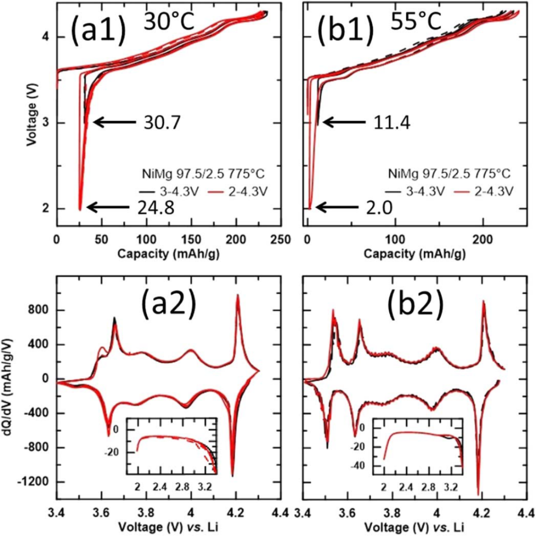
图 3、在775 ℃下加热并在30 ℃(a1)、(a2)和55 ℃(b1)下循环的NiMg 97.5/2.5样品的充放电曲线和差分容量曲线, (b2)并循环到不同的低截止电压。

图 3a1-b1显示,2.0 V的截止电压可以将更多的锂重新插入材料中,并少量降低IRC。在30 ℃时,NiMg 97.5/2.5 3 μm加热至775 ℃的IRC可降低~6 mAh g-1,而在55 ℃下循环时,IRC降低到1%以下。dQ/dV曲线表明,一些额外的容量在放电接近2 V时出现,但在充电到3.55 V时恢复。

通过提高循环温度,低SOC下的锂/空位迁移得到增强,允许更多的锂在颗粒表面被填充之前扩散到材料中。通过降低LCV可以增加重新插入锂的驱动力,允许更多的锂在达到截止电压之前重新插入。这些变量都可以理解为通过增强动力学、驱动力或通过使颗粒破裂来减少扩散路径长度,以降低IRC。

图 1-3表明,了解锂扩散动力学障碍以及如何减少动力学障碍对于提高材料的容量和倍率性能非常重要。因此,以系统的方式测量锂扩散的能力将是进一步了解和比较不同富镍材料的关键。

本文使用“插层扩散的Atlung方法”(AMID)测量固态锂化学扩散系数。这是“特征曲线方法”的延伸,其中电池以逐渐降低的倍率放电。图 4a 显示,一系列电流从高倍率到低倍率依次施加到电池上,其间有弛豫期。由于电池在固定电压区间内循环,因此必须确定“有效倍率”以准确描述容量-倍率关系。“协议倍率”是在电池放入充电器之前通过使用正极的总理论容量计算的。“有效率”是固定电压区间内的总可用容量除以电流。

由于电流相同,所有电压区间的“协议倍率”都相同,但每个电压区间的“有效倍率”将不同,因为容量在电压区间之间变化。该协议的一个明显问题是高倍率下测量的容量受到大IR降的困扰。电池内阻在更高的电流下被放大,意味着在颗粒表面充满锂之前达到截止电压。电流产生较大IR降时的实际可用容量大于测量值。然而,在图 4a 中可以看到,高倍率放电超过2-3个周期后,IR降很快变得无关紧要。

图片
图 4、(a)标准信号协议,(b)累积容量随倍率的变化关系和(c)Atlung曲线拟合方法。

图 4b 显示,容量在较高倍率期间急剧增加,然后在较低倍率期间达到稳态,意味着随倍率降低,更多容量被释放。任何给定倍率的累积容量预计将与使用该倍率所产生的完全放电容量相同。图 4c中,实验数据符合球形颗粒的固态扩散方程,该方程将容量分数与放电时间联系起来。

图 5a 显示了电压与时间的关系,图 5b 显示了应用于NiMg 97.5/2.5多晶(PC)电池的AMID的充放电曲线。AMID协议如下:C/20下一个完整的循环,C/40充电,4.3 V到3.0 V每0.1 V间隔的“特征曲线”,以及C/20充电。

根据理论容量计算出的“特征曲线”中,该电池使用的倍率为1 C、C/2、C/5、C/10、C/20、C/40、C/80、C/160,每个倍率之间有2小时的弛豫。在每个电压间隔处提取“有效倍率”与容量的“特征曲线”。然后将这些数据拟合计算DC和电压区间内的最大可用容量cmax。最后的C/20充电用于确保在AMID协议期间没有发生降解。

为了一致地表示拟合误差,本文还使用来自IR降的权重来计算拟合数据与理论容量-倍率曲线之间的差异加权平均值(见图4c),给出了拟合质量的定量度量。在 3.5-4.3 V范围内实现了对所有材料的良好拟合,与理论曲线的平均偏差小于5%。

图片
图 5、插层扩散的Atlung方法:(a)电压随时间变化和(b)电压随容量变化图。

图 6显示,55℃时的锂化学扩散系数高于30℃。由于动力学障碍,4.25 V和 3.55 V附近的扩散系数低于所有其他电压区间。在高荷电状态下,层间距收缩,增加了锂迁移势垒。在低荷电状态下,与四面体的位跃相比,有限的空位迫使Li原子以更大的迁移势垒穿越O-O原子间隙。

图6a显示,平均粒径为0.9 μm计算的NiMg 单晶(SC)的Li化学扩散系数比二次粒径为18 μm的PC样品低几个数量级。由于较大的一次粒径和无晶界,单晶颗粒具有较长的面内晶格扩散路径。SC材料的倍率性能高度依赖于单晶颗粒尺寸。

相比之下,多晶样品包含较小的初级粒子,具有许多界面,其中Li在初级粒子的晶格或晶界内扩散,与SC材料相比,扩散长度短得多。通过使用0.7 μm的“有效”粒径,PC电池的拟合扩散系数可以与SC电池在同一个的数量级,这大约是0.25 μm平均初级粒径的3倍。这可以通过锂沿初级粒子晶界扩散来解释。

实际上,图 6a的结果表明晶格扩散是限速过程,沿晶界的表面扩散比晶格扩散快得多,导致具有较小初级粒子的PC样品的整体动力学更快SC和PC材料在3.6 V以下Dc的突然下降说明了动力学阻碍的原因:缓慢的Li扩散。

图片
图 6、(a)NiMg-SC, (b-c)NiMg-PC的Li化学扩散系数与电压的函数关系,(d1)NiMg-SC,(d2-d3)NiMg-PC的SEM图像。

【结论】
本文研究了各种参数对材料电化学性能的影响,特别是在与锂扩散相关的低电压动力学障碍区。增加取代基数量、二级粒径和初级粒径都会降低在~3.4-3.6 V区域的容量并增加首圈IRC。在较高温度下循环和循环到2 V的低截止电压时,低压动力学障碍区的容量可以显着增加。

AMID的应用提供了在3.5-4.3 V范围内的锂化学扩散系数Dc的测量值。如果使用PC材料的二次粒子直径来计算Dc,SC材料测得的Dc比PC材料小约2个数量级。这归因于PC材料具有相对快速的晶界扩散。如果使用PC材料的初级粒径来计算Dc,则与SC材料具有相同的数量级。这些结果表明,与晶界扩散相比,晶格扩散要慢得多。
文章为转载,如有侵权问题,可联系删除



中国·深圳市
深圳市宝安区航城街道三围社区航城智慧安防科技园A栋301
24小时服务
13510505757
联系我们
深圳市宝安区航城街道三围社区航城智慧安防科技园A栋301